瞬态热选项对话框
创建或修改瞬态热传递研究时使用瞬态热选项对话框来定义查看模型温度响应的时间间隔。目的是标识模型达到稳态之前在一个或多个具体关键操作时间的应力结果。
可以保存瞬态热研究定义参数作为全局默认值,方法是使用瞬态热选项...按钮,该按钮位于 青翼 CAD 选项对话框→仿真选项卡上。

- 结束时间
-
指定研究处理总时间跨度,以秒为单位。研究的长度完全取决于想要仿真的操作或过程。可以将某个值从分钟数转换为秒数,方法是在该值后键入 min,然后按 Tab 键。最大值为 100,000,000.00 秒。
- 计算时间增量
-
指定系统计算热结果的频率。应使用足够小的值,以确保结果在时间步间隔内为线性。该值必须大于零且小于结束时间。可以最初使用默认值,然后根据结果进行调整。
有关 NX Nastran 指导,请参见此帮助主题中的估算时间步大小(计算时间增量)的公式。
- 输出时间增量
-
在过程中开始生成图的时间增量。调整此值以直接影响产生的结果集数。此值必须大于等于计算时间增量且小于结束时间。
- 结果数
-
此只读字段基于您当前的输入值(加上一张作为基线的图)显示将产生多少结果集。此数量受处理研究所使用的间隔类型(常量或自适应)影响。请参考以下示例。
注释:由仿真产生的结果数必须始终是一个整数。这意味着有时当您对一个值(如输出时间增量)进行少量更改时,您以前输入的其他值(如结束时间)也会自动调整。
- 间隔类型
-
指定是否允许求解器调整生成的结果集数。
- 常量
-
如果获取精确的结果集数很重要,则选择常量选项。
示例:-
如果结束时间=100 秒
输出时间增量=25
间隔类型=常量,
然后就会以这些间隔产生结果集:
结果集数 = 100/25 + 1 = 5

-
- 自适应
-
允许求解器调整步骤间隔以更精确地计算瞬态热。这意味着产生的结果集数可能多于或少于对话框中当前指示的数量。在频繁变化期间,步骤间隔较小,而在稳定变化期间,间隔较大。使用自适应时间步算法的一个优点是可能显著减少运行次数。
示例:-
如果结束时间=5000 秒
输出时间增量=200
间隔类型=自适应,
然后就会以不规则间隔产生结果集。在此情况下,只会生成四个结果集加上基线图:

-
- 默认初始温度
-
在瞬态热传递分析中需要默认初始温度。作为在每个增量计算温度的起点,默认初始温度值适用于研究中的所有体。默认值为 20 摄氏度(或 68 华氏度)。
-
在具有四面体网格的零件模型中,在此处输入的默认初始温度值会自动在仿真窗格中创建本体温度载荷。
-
对于具有曲面网格的模型(例如钣金件)或具有常规体网格的模型(例如装配),必须选择体载荷组→本体温度命令
,并将默认初始温度指派给合适的几何体。
注释:要在初始研究创建后更改默认初始温度,必须在仿真窗格→载荷组中编辑本体温度载荷值。
-
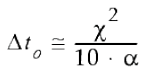
估算时间步大小(计算时间增量)
可以使用《NX Nastran 热分析用户指南》中的此公式来确定对时间步长大小的保守估计。在 青翼 CAD 仿真中,在计算时间增量框中输入此值。

其中:
Δt ₀ = 初始时间步大小
X = 网格大小(最小单元尺寸)
α = 最大热扩散率,
且
ρ = 材料密度
Cp = 材料比热
k = 导热系数
© 2021 UDS